Профессор Гарварда написал статью по теоретической физике с помощью ИИ за две недели
Мэттью Шварц выступил научным руководителем для модели Claude, поручив ей сложную задачу по квантовой теории поля. Эксперимент показал, что ИИ способен выполнять работу аспиранта.

Суть
Мэттью Шварц, профессор физики из Гарварда, успешно завершил сложное исследование по теоретической физике, используя исключительно текстовые подсказки для больших языковых моделей (LLM). В роли его виртуального аспиранта выступила модель Claude Opus 4.5 от компании Anthropic. Научный проект, который в обычных условиях занимает около года кропотливой работы, был выполнен всего за две недели.
Контекст

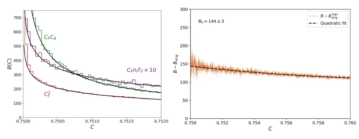
Graphs depicting analytic calculations in agreement with one another
В последнее время индустрия активно обсуждает концепцию полностью автономных искусственных ученых. Такие системы, как AI Scientist от Sakana AI или инструменты от Google и Allen Institute, пытаются автоматизировать весь цикл исследований — от генерации гипотез до написания итоговых статей. Однако в теоретической физике, где критически важна интуиция, выбор правильных математических приближений и обход концептуальных ловушек, полная автоматизация пока не работает. Шварц решил проверить альтернативный подход: справится ли ИИ, если им руководить как реальным студентом второго года обучения, давая четкие задачи с известным путем решения.
Детали
Для эксперимента была выбрана узкая, но фундаментальная задача — пересуммирование судаковского плеча в C-параметре. Это сложная проблема в квантовой хромодинамике, описывающая форму распределения частиц при столкновении электронов и позитронов. Профессор установил строгие правила: он не писал ни строчки кода и не редактировал файлы напрямую, используя только текстовые инструкции через инструмент Claude Code.






